Horváth István, președintele Institutului pentru Studierea Problemelor Minorităţilor Naţionale (I.S.P.M.N.) din Cluj-Napoca. Foto Dan Bodea /Transilvania Reporter

Horváth István, președintele Institutului pentru Studierea Problemelor Minorităţilor Naţionale (I.S.P.M.N.) din Cluj-Napoca. Foto Dan Bodea /Transilvania Reporter
27/04/2020
Institutul pentru minorități și pentru majorări discutabile de salarii
Am aflat recent despre existența Institutului pentru Studierea Problemelor Minorităților Naționale (ISPMN) în contextul măririlor de salarii acordate anumitor categorii de bugetari. Parlamentul a adoptat la începutul lunii aprilie modificări și completări la legea privind salarizarea personalului plătit din fonduri publice.
La articolul II, se făcea referire și la angajații ISPMN:
Începând cu drepturile salariale aferente lunii următoare celei în care intră în vigoare prezenta lege, cuantumul brut al salariilor de bază de care beneficiază personalul din cadrul Institutului pentru studierea problemelor minorităților naționale se majorează cu 100%, cu respectarea prevederilor art. 38 alin. 6 din Legea-cadru nr. 153/2017 privind salarizarea personalului plătit din fonduri publice, cu modificările și completările ulterioare.
Informația s-a rostogolit rapid în spațiul public. 100 la sută s-a tradus, de înțeles oarecum, prin dublarea lefurilor, iar reacția de vehemență a publicului s-a multiplicat cu o mie, mai ales că majorarea venea în mijlocul pandemiei de Sars-CoV-2 care generase concedieri masive sau măsura șomajului tehnic în mediul privat.
Am verificat știrea. S-a dovedit, ca într-un banc cu Radio Erevan, că mărirea de 100 la sută e de fapt de puțin peste 20 la sută și că șefii nu beneficiază de ea, ei prinzând valul de măriri din 2017. Cu alte cuvinte, conducerea institutului a ajuns mai repede în paradisul bugetarilor, și a fost urmată acum de colegii mai prost plătiți: cercetătorii institutului și angajații de la juridic și contabilitate.
Așadar, conducerea ISPMN susține că majorarea de acum ar fi doar o măsură de remediere a unor inegalități din sistemul de salarizare și că mărirea vine să facă dreptate celor săriți în urmă cu doi ani și jumătate.
„Justețea măsurii majorării salariale este incontestabilă, regretabilă fiind suprapunerea cu această situație îngrijorătoare creată de pandemia Covid-19”, spun reprezentanții ISPMN. Aceștia insistă asupra faptului că actualul proiect legislativ a fost adoptat inițial în 2019, dar a fost ținut în joc de glezne pe la Curtea Constituțională, pentru ca, într-un final, să-și reia cursul legislativ normal și să-și producă efectele incontestabile tocmai în vremea pandemiei.
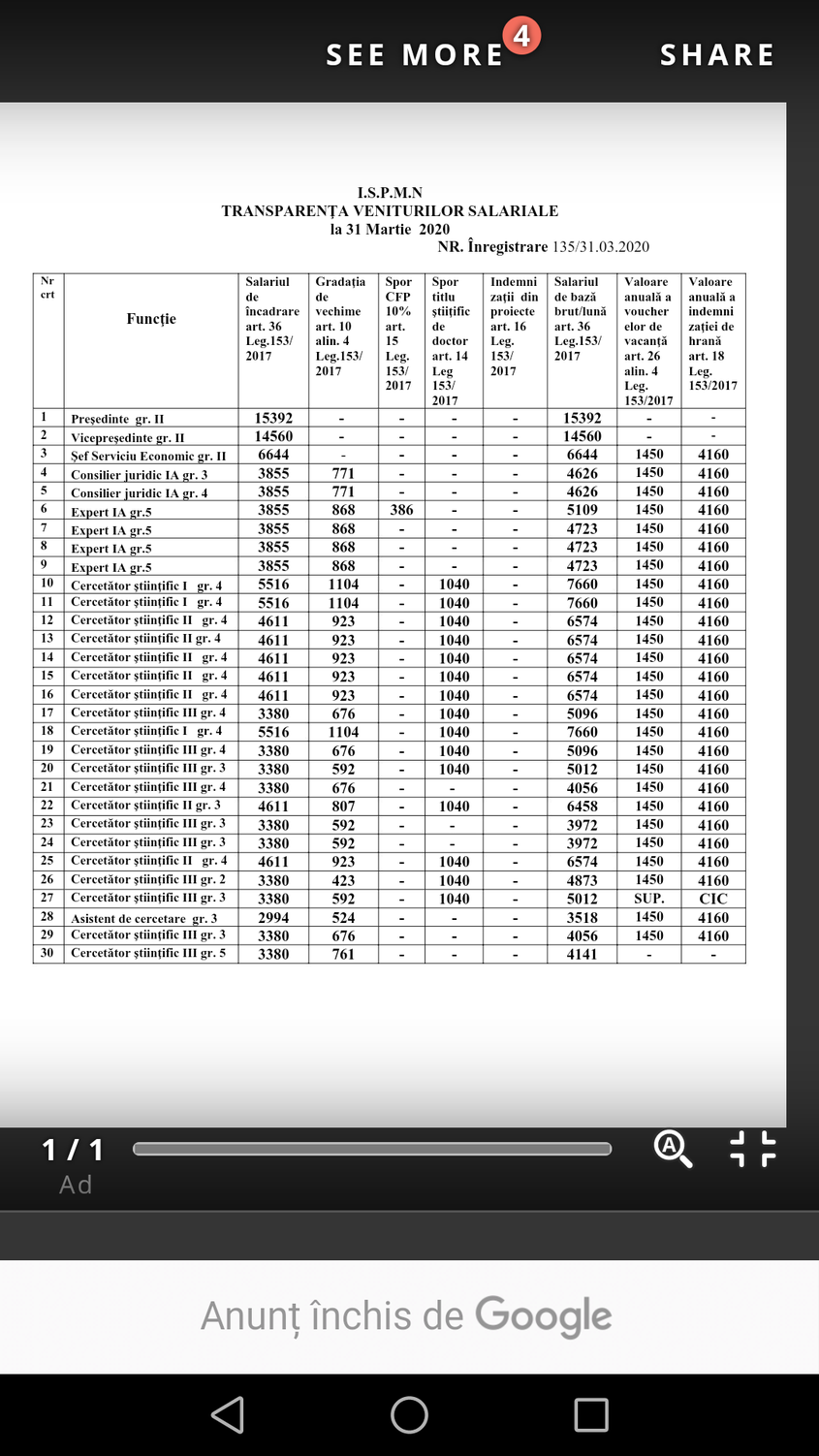
Incontestabile sunt și cifrele. Dintre cei 29 de angajați ai institutului se detașează net veniturile șefilor. Președintele Horváth István și vicepreședintele Estera Hetea au salarii de bază brute de 15.392 de lei, respectiv 14.500 de lei pe lună. Ei sunt însă asimilați ca secretari de stat, astfel că veniturile lor au crescut substanțial în 2017, iar actuala modificare de lege nu i-a luat în calcul.
Horváth e și conferențiar universitar în cadrul catedrei de Sociologie a Universității Babeș-Bolyai . Din declarația sa de avere pentru anul fiscal 2018 – ultima făcută publică pe siteul ISPMN – rezultă faptul că acesta câștigase mai mult la institut (93.141 de lei pe an), decât la Univesitate, la locul său de muncă de bază (82.348 de lei, în declarațiile de avere se trec câștigurile nete). În 2015, de pildă, raportul era invers: câștigase mai mult de la Babeș, în jur de 53.000 de lei pe an, și doar puțin peste 49.000 de lei de la institut. Președintele ISPMN e căsătorit cu Anna Horvath, fostă vicepreședinte și vicemprimar al municipiului Cluj-Napoca, condamnată în 2019 la doi ani de închisoare cu supendare, pentru săvârșirea infracțiunii de trafic de influență.
Și vicepreședintele ISPMN, Estera Hetea, a făcut un salt important în privința salariilor de la institut: de la 56.822 de lei în 2015, la 93.361 de lei în 2018.
Mulți ne citesc, puțini ne susțin. Fără ajutorul tău, nu putem continua să scriem astfel de articole. Cu doar 5 euro pe lună ne poți ajuta mai mult decât crezi și poți face diferența chiar acum!
În luna decembrie 2019, Institutul cheltuise 87.467 pentru plata salariilor nete ale celor 29 de angajați.
Horváth spune că legea măririlor de salarii „s-a nimerit să fie aprobată acum, într-un context absolut nefericit”, și că textul ei „destul de alambicat” ar fi putut genera confuzii.
„Nu înseamnă dublarea salariilor, ci alinierea lor sută la sută la nivelul maxim permis de legislația în vigoare pentru instituțiile publice care sunt constituite în aceeași formă ca și institutul nostru. Formularea asta legislativă am împrumutat-o din textul unei legi care s-a aplicat unui alt institut care, ca structură, seamănă foarte mult cu al nostru, și anume institutul Elie Wiesel”, spune Horváth.
Potrivit acestuia, bugetul de salarii din instituție ar crește practic cu 21,43 la sută.
„Exemple concrete: pentru un asistent de cercetare – care este nivelul cel mai de jos – salariul net crește de la 2261 de lei la 3012 lei. Pentru un jurist de la instituție mărirea e de la 2965 de lei la 4011”.
Blocaj instituțional: de trei ani, autoritățile nu au stabilit programa de formare pentru psiho-oncologie, cu toate că specializarea devine obligatorie din 2026
Pacienții cu cancer au nevoi psihologice particulare, de aceea cei care lucrează cu ei ar trebui să aibă o formare în psiho-oncologie, specializare care va fi obligatorie din 2026 pentru cei care vor oferi servicii prin Casa de Asigurări. Doar că modul în care se realizează acum formarea în domeniu este superficial, raportat la cum se face în străinătate și insuficient, raportat la nevoile pacienților.
Sute de magistrați se solidarizează cu dezvăluirile din documentarul Recorder. Cum pot tensiunile din CSM să blocheze reforma sistemului judiciar
Aproape 200 de magistrați s-au solidarizat cu dezvăluirile documentarului Recorder, în timp ce CSM pare a fi scindat între secția de judecători și cea de procurori. În acest context, cine poate reforma cu adevărat sistemul judiciar?
Salariile noastre – cele de președinte și vicepreședinte – au căzut sub incidența creșterilor salariale anterioare. Restul colegilor, mai ales cei din cadrul structurii administrative, au fost omiși atunci. Acesta e contextul creșterilor din această lunăHorvath Istvan, președinte ISPMN
Cu ce se ocupă ISMPN
Un newsletter pentru cititori curioși și inteligenți.
Sunt curios
ISPMN este o instituție publică cu sediul în Cluj-Napoca. A fost fondat în 2001, iar din 2007 a început să fie bugetat direct prin fonduri guvernamentale. Potrivit statutului său, Institutul ar trebui să producă și să coordoneze studii multidisciplinare și aplicate și cercetări cu privire la păstrarea identității naționale a minorităților din România și a problemelor și vulnerabilităților de ordin cultural cu care se confruntă.
Potrivit informațiilor publice de pe site-ul ISPMN, instituția a fost, până acum, implicată în 7 proiecte internaționale, în care a fost partener al unor universități din străinătate finanțate din granturi europene sau norvegiene.
Spre exemplu, în 2013 a fost partener într-un proiect multi-național despre migrația populației rome, care s-a desfășurat pe durata a 48 de luni. Proiectul MigRom12 a studiat cauzele, efectele și modalitățile de interacțiune cu populația de etnie romă migrantă în marile capitale europene și a implicat entități din Franța, Marea Britanie, Italia și Spania. Rezultatele cercetării nu pot fi găsite online, însă ISPMN emite periodic un newsletter cu noutăți "în cercetarea minorităților".
Ultimul proiect internațional în care ISPMN este implicat se numește Rediscover, este finanţat în cadrul Programului Transnaţional Dunărea şi se desfăşoară în perioada 01.06.2018 - 31.05.2021. În acest proiect, Institutul face un soi de consultanță pe lângă Primăria Galați pentru a "crea oportunităţi şi avantaje competitive pentru oraşele cu moşteniri culturale evreieşti reduse".
În ceea ce privește proiectele majore desfășurate de ISPMN, unul dintre ele este coordonat chiar de directorul Horváth István și este un inventar al sistemului instituțional maghiar, respectiv a bisericilor, școlilor, asociațiilor și centrelor culturale maghiare. Proiectul a pornit în 2018, dar de fapt doar completează o listă deschisă în 2008 și updatată în 2012. Dar ISPMN organizează și alte tipuri de baze de date, cronologii ale minorităților, face mese rotunde și seminarii sau eliberează rapoarte de cercetare despre comunitatea evreilor.
ISPMN mai funcționează și ca bibliotecă de resurse destinată cercetătorilor. De exemplu, arhivează materiale video despre minoritățile naționale apărută în presă și face monitorizarea presei de limba maghiară.
ISPMN are și regim de editură. Anul trecut a editat două cărți: "Despre vigilenţa ideologică. File din istoria cenzurii instituţiilor (maghiare) orădene în regimul Ceaușescu: presă, filarmonică, teatru" (Plainer Zsuzsa) și ediția a doua din "Un veac frământat. Germanii din România după 1918" (Ottmar Traşcă, Remus Gabriel Anghel (coord.) ÎN 2020, la ISPMN Publishing a apărut cartea „Polonezii din România. Repere identitare” coordonată de Anca Filipovici.
Câteva cheltuieli din 2019 ale Institutului
Total plăţi efectuate: 2.801.468,52 lei
Salarii de bază: 1.741.007,00 lei
Indemnizația de hrană: 85.543,00 lei
Vouchere de vacanţă: 37.338,00 lei
Acţiuni cu caracter ştiinţific: 178.418,51 lei ( tipar cărţi – tipar, corectură lingvistică, servicii de traducere; cheltuieli cu cesiunea drepturilor de proprietate intelectuală, sondaj de opinie)
Cheltuieli de capital: 102.167,31 lei (programe informatice pentru activitatea de cercetare și sisteme de operare Windows 10)
Telefon, internet poştă: 23.133,24 lei
„Amendamentul formulat este necesar pentru creșterea salariului personalului din cadrul Institutului, deoarece, asemenea celorlalte institute de cercetare și studierea problemelor minorităților sau holocaustului, cum ar fi Institutul Naţional pentru Studierea Holocaustului din România „Elie Wiesel”, este necesară majorarea salariilor. Pentru eliminarea diferențelor salariale între personalul instituțiilor care desfășoară activități de cercetare științifică, dezvoltare tehnologică şi proiectare”
Eva Andrea Csep, deputat UDMR

Avem nevoie de ajutorul tău!
Mulți ne citesc, puțini ne susțin. Asta e realitatea. Dar jurnalismul independent și de serviciu public nu se face cu aer, nici cu încurajări, și mai ales nici cu bani de la partide, politicieni sau industriile care creează dependență. Se face, în primul rând, cu bani de la cititori, adică de cei care sunt informați corect, cu mari eforturi, de puținii jurnaliști corecți care au mai rămas în România.
De aceea, este vital pentru noi să fim susținuți de cititorii noștri.
Dacă ne susții cu o sumă mică pe lună sau prin redirecționarea a 3.5% din impozitul tău pe venit, noi vom putea să-ți oferim în continuare jurnalism independent, onest, care merge în profunzime, să ne continuăm lupta contra corupției, plagiatelor, dezinformării, poluării, să facem reportaje imersive despre România reală și să scriem despre oamenii care o transformă în bine. Să dăm zgomotul la o parte și să-ți arătăm ce merită cu adevărat știut din ce se întâmplă în jur.
Ne poți ajuta chiar acum. Orice sumă contează, dar faptul că devii și rămâi abonat PressOne face toată diferența. Poți folosi direct caseta de mai jos sau accesa pagina Susține pentru alte modalități în care ne poți sprijini.
Vrei să ne ajuți? Orice sumă contează.
Share this




